Chandra SNR Chandra SNR
True Color Image Gallery: Galactic SNR | Magellanic Cloud SNR
Chandra Supernova Remnant Catalog - Home Page Galactic SNR Magellanic Cloud SNR Pages Chandra Supernova Remnant Catalog - Home Page

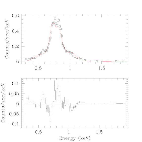
Fit Detail for J0454.4-6713

Total:

source=(xswabs * xsvmekal)
reduce chi^2 = 3.694999
nh = 0.2 10^22/cm^2
PARAMETERS


Back to J0454.4-6713 Index



line
Chandra Supernova Remnant Catalog
Main Page | Galactic SNR | Magellanic Cloud SNR
True Color Image Gallery: Galactic SNR | Magellanic Cloud SNR